Click here to download a PDF version of this spotlight.
» » Kernel moisture can be used to estimate the maturity of a sweet corn crop.
» Accurate estimates of sweet corn maturity are used to schedule harvest dates for processing sweet corn.
» The desired kernel moisture level at harvest depends on whether the crop will be used for frozen, whole-kernel pack, or cream-style end products.
SWEET CORN MATURITY
Unlike dent corn that can be harvested over periods of weeks or months, the window of time for harvesting sweet corn is very narrow, usually only a few days, to harvest ears of optimum quality.1 Sweet corn is harvested when kernels reach the “milk stage” (Figure 1) before they are fully mature. If harvested too early, the diameter of the ears will be small, the cob fill will be poor, and the kernels will be watery and lack sweetness.2 If harvested too late, the kernels become tough, dented, and starchy rather than sweet. At optimal maturity, sweet corn kernels are plump, sweet, milky, and tender. At this stage, the ears are near their maximum size.3 The goal of sweet corn growers and processors is to produce kernels with a tender pericarp, a creamy texture, a high sugar content in the endosperm, and a low starch content. They also try to maximize yield and process recovery for their particular pack.
Figure 1. Sweet corn is harvested at the milk stage of maturity.
ASSESSING MATURITY
Several methods are used to assess the maturity of a sweet corn crop. Some growers rely on visual observations of ear size and the number of immature kernels at the tip of the ear. This method is usually not accurate enough for processing sweet corn production where the time of harvest needs to be coordinated with the availability of harvesting crews and processing plant capacity.4 More accurate methods for assessing maturity include measurements of sensory, physical, and chemical factors, including sugar content, the concentration of alcohol insoluble solids (AIS), total carbohydrate concentration, seed coat tenderness, moisture content, and taste, which is associated with the concentration of dimethyl sulfide (DMS).3,5
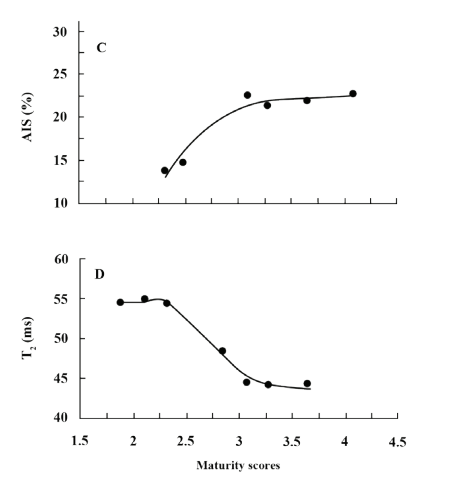
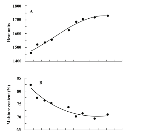
Figure 2. Relationships between sensory maturity scores (1 = extremely immature and 9 = extremely over mature) in sweet corn and (A) heat units, (B) moisture content, (B) alcohol insoluble solids, and (D) nuclear magnetic resonance (NMR) readings. Courtesy of Ruan and Chen, 1999.5
Levels of tenderness and sweetness of the kernels are the key attributes to onsider, and these attributes are determined by sugar content, starch content, and pericarp toughness.2 Overmature sweet corn kernels contain high levels of watersoluble polysaccharides that impart an unpleasant texture.5 Heat unit (heating degree days) have also been used to estimate sweet corn maturity, but degree day models tend to be very location and hybrid-specific. Of all the methods currently available, moisture content, sugar content, and AIS levels are the most reliable for determining the maturity and quality of sweet corn (Figure 2).1,2,5 For many processors, the kernel moisture measurements have become the most important factor used for determining the maturity levels and harvest dates for their crops.6 Especially for standard sugary (su) and sugary-enhanced (se) sweet corn hybrids.
KERNEL MOISTURE
As shown in Figure 2, kernel moisture decreases with maturity, while process recovery and corn cut kernel yield increases as the moisture content of the kernels decrease.3,5 However, the target moisture content levels used for harvesting depend on the intended use of the crop as the target moisture levels used for frozen, whole-kernel pack (canned), and cream-style corn are somewhat different. This is because the flavor, tenderness, and color of the kernels, as well as the ability to cut kernels from the cob change as the ears mature. As ears mature and moisture declines, it becomes easier to mechanically cut kernels from the cob, resulting in more uniform kernel size and higher processing recovery and cut kernel yield rates.2,3 However, there is also some reduction in quality as kernels become larger, darker, and tougher. The sugar content also declines, and the starch content increases as the ears mature. These changes in quality are acceptable for whole-kernel pack (canned) and cream-style uses, but not for fresh market or frozen uses. Processors try to find the best moisture level to provide a balance of high kernel quality and cut kernel yield. Su and se sweet corn hybrids intended for frozen pack are usually harvested at moisture levels of 72 to 73% when kernel quality is the highest (Table 1).
Su and se hybrids intended for whole-kernel pack are usually harvested at 70 to 71% moisture to obtain better uniformity of kernel size and recovery rate.3 Sugary type hybrids used for cream style processing have a wider harvest window or kernel maturity range as kernel moisture levels down to 66% can be acceptable.
Super-sweet (sh2) hybrids are usually harvested at higher kernel moisture levels than se type hybrids because of the higher sugar concentrations in kernels of sh2 hybrids. Most sh2 hybrids should be harvested for canning or freezing when kernel moisture is between 76 and 79%.3 However, not all sh2 hybrids have the same relationship between kernel moisture and maturity. Some sh2 hybrids can maintain kernel quality down to 72-73% moisture and some hybrids will hold kernel moisture at 78-80% when the ear is over-mature and kernels begin to dent. Knowing the maturity characteristics of each sh2 hybrid is important.
Each processor has its own set of factors for determining the time of harvest, based mostly on the final use of the product. Some processors use a combination of kernel moisture and visual ratings of ear and kernel development (sweetness, toughness, kernel depth) to determine the best time for harvesting.
SOURCES
1 Campbell, J. and McKerlie, E. 1967. The evaluation of methods to determine sweet corn maturity for processing. Can. J. Plant Sci. Vol. 47:381-387.
2 Szymanek, M. 2009. Influence of sweet corn harvest date on kernels quality. Res. Agr. Eng. 55: 10–17.
3 Szymanek, M. 2012. Processing of sweet corn. In “Trends in Vital Food and Control Engineering”, A. Eissa (Ed.) ISBN: 978-953-51-0449-0.
4 Deckert, T. and Tracy, W. 2001. Irrigation and sugar in sweet corn. In: Wisconsin Fertilizer, Aglime, and Pest Management Conf. Proc.
http://www.soils.wisc.edu/extension/FAPM/2001.php.
4 Brandenberger, L., Kahn, B., and Rebek, E. 2017. Sweet corn production. Oklahoma Cooperative Extension Service. Publication HLA-6021.
5 Ruan R., Chen P., Almaer S. 1999. Nondestructive analysis of sweet corn maturity using NMR, HortScience, 34: 319–321.
6 Olson K. 2000. Northland foods: planning the end. International Food and Agribusiness. Management Review, Vol. 3, 423-432.
Websites verified 6/30/2020.
ADDITIONAL INFORMATION
For additional agronomic information, please contact your local seed
representative.
Performance may vary from location to location and from year to year, as local growing, soil and weather conditions may vary. Growers should evaluate data from multiple locations and years whenever possible and should consider the impacts of these conditions on the grower’s fields. The recommendations in this article are based upon information obtained from the cited sources and should be used as a quick reference for information about sweet corn production. The content of this article should not be substituted for the professional opinion of a producer, grower, agronomist, pathologist and similar professional dealing with this specific crop.
BAYER GROUP DOES NOT WARRANT THE ACCURACY OF ANY INFORMATION OR TECHNICAL ADVICE PROVIDED HEREIN AND DISCLAIMS ALL LIABILITY FOR ANY CLAIM INVOLVING SUCH INFORMATION OR ADVICE.
7067_SE_S1 Published 07-21-2020
Bayer, Bayer Cross Design, and Seminis® are registered trademarks of Bayer Group. All other trademarks are property of their respective owners. © 2020 Bayer Group. All rights reserved.